Kilbaha Education
Legacy Pure Mathematics - Detailed Answers
Legacy Pure Mathematics - Detailed Answers
Legacy Pure Mathematics - Detailed Answers
99 in stock
Couldn't load pickup availability
Download the school order form here.
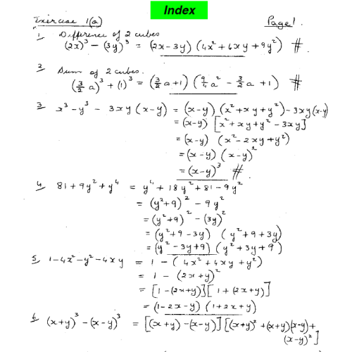
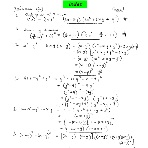
- Detailed worked solutions to questions in this well-known text book
- Hand written solutions
- A great resource for students studying mathematics
- 774 pages of detailed solutions
- ISBN 9781876324629
- School site licence included for both print and electronic use
The questions for these detailed answers are contained in this book:
MODERN MATHEMATICS 6 PURE MATHEMATICS
J.B. Fitzpatrick and P.L. Galbraith
First Published 1971 by THE JACARANDA PRESS
Third Edition 1980
ISBN 0 7016 1410 2
The book with the questions can be obtained here:
http://trove.nla.gov.au/version/11592393
Detailed Answers to these Chapters
1. Basic Algebra
2. Algebra of Functions
3. Circular and Inverse Circular Functions
4. Differential Calculus
5. Curve Sketching. Maxima and Minima
6. Derivatives of Circular & Inverse Circular Functions
7. Antidifferentiation and Integral Calculus
8. Logarithmic and Exponential Functions
9. Analytical Geometry
12. Permutations and Combinations
13. Probability
14. Normal Distribution
15. Binomial and Hypergeometric Distributions
16. Poisson Distribution
Download the school order form here.
Share
